AI发现新物理定律:纠正等离子体理论多年错误假设
美丽的星云、星环,其中广泛存在的组成成分——尘埃等离子体,是一种由离子、电子和带电尘埃颗粒组成的混合体系,广泛分布在星际空间中,其粒子间通过等离子体介导的库仑力相互作用,具有非保守、非互易等复杂特性。
对于如此精细而复杂的星间系统,传统理论难以精准描述其相互作用规律,尤其是偏离平衡态的场景。不过,借由美国埃默里大学(Emory University)物理定制的 ML 模型,物理学家得以揭示尘埃等离子体中意想不到的物理现象。
这项工作是少见的不使用 AI 作为数据处理或预测工具,而是发现支配自然世界的新物理定律的实例之一。如上文所述,研究团队构建的不是通用神经网络,而是一种「物理定制型AI」(physics-tailored machine learning, PTML),它融合了粒子间库仑力、电场作用和阻尼等理论知识,构建神经网络的输入层与嵌套结构。
这样设计的结果是,模型不仅在拟合观测数据时更高效,而且在结果分析阶段具有物理可解释性(interpretable ML)。换句话说,它不是黑盒推理,而是可以「讲清楚为什么」的AI。
简单些来说,实验并非是让模型「黑箱」地预测下一帧位置,而是把牛顿第二定律拆成三项——粒子间相互作用、环境外力和气体阻尼——各用一个子网络独立逼近,输入只保留「必须知道」的量。
这样既保留了 xy 平面的平移对称性,又允许 z 方向的对称破缺(离子尾迹效应),从而把非互易力显式地编码进网络结构。
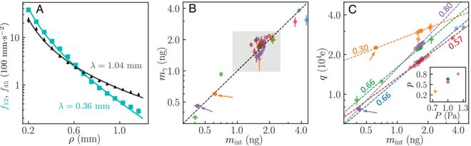
模型基于 3D 粒子轨迹进行训练,考虑了固有的对称性、非同质粒子,并以极高的精度(R²0.99)学习了粒子之间的有效非对称力。
为了解释这些有效非对称力,研究人员使用了两个船在湖面上移动的类比。每艘船产生的波纹模式会影响另一艘船的运动。一艘船的波纹可能会排斥或吸引另一艘船,这取决于它们的相对位置——例如,船只是否并排航行或一艘船在另一艘船后面。
一种长期存在的理论认为,尘埃颗粒的半径越大,粘附在该颗粒上的电荷就越大,与颗粒的半径成正比。但研究者证明这并不完全正确,虽然粒子越大,电荷就越大,但这种增加并不一定与半径成正比。这取决于等离子体的密度和温度。
他们验证了尘埃颗粒之间非倒易力和吸引力的理论预测,确定了屏蔽长度对相互作用颗粒大小的意外依赖性,并确定了与 OML 理论的意外偏差。
在实验中,等离子体粒子表现出在弱阻尼下仍持续存在的周期波动。按照经典耗散理论,这类系统应当迅速耗散能量、进入静态状态。
图 2:使用 Eq. 4 在 z = 0.03 mm 处推断出的质量、电荷和屏蔽长度测量值。
波动并非来源于外部扰动,而是由于电荷-速度之间的微弱耦合导致的系统内反馈机制。
研究者随后用独立数值模拟与简化理论模型对AI发现进行验证,发现确实存在该机制——这标志着AI模型在不被告知正确答案的前提下,主动揭示了新的物理过程。
这项研究不仅解决了一个实验现象的理论悖论,更重要的是,它带来了 AI 在理论物理中的更多发展方向。AI 可作为「科学假设生成器」,不止用于拟合已有数据,将可解释性结构与物理假设嵌入模型设计,能让AI提出有物理意义的新想法。
不依赖于海量的数据作为训练或者背题模板,而是利用结构化优势放大信息密度——这也许才是研究团队想要揭示的事情。
特别声明:以上内容(如有图片或视频亦包括在内)为自媒体平台“网易号”用户上传并发布,本平台仅提供信息存储服务。
银价暴涨后CT废胶片回收价涨幅250%,曾有夫妻雇人用胶片提炼白银27余斤,两人被判缓刑罚7万元
82岁湖北大爷背包独行10年闯世界:解锁四大洲踏遍10余国,一个月花掉近一年退休金,下一站准备征服美洲
2025年A股车企谁最赚钱?上汽“翻身”赚近百亿元,北汽蓝谷、江淮亏损收窄
苹果2026新春大片《碰见你》上线 库克:iPhone 17 Pro拍摄 希望大家喜欢

